Project
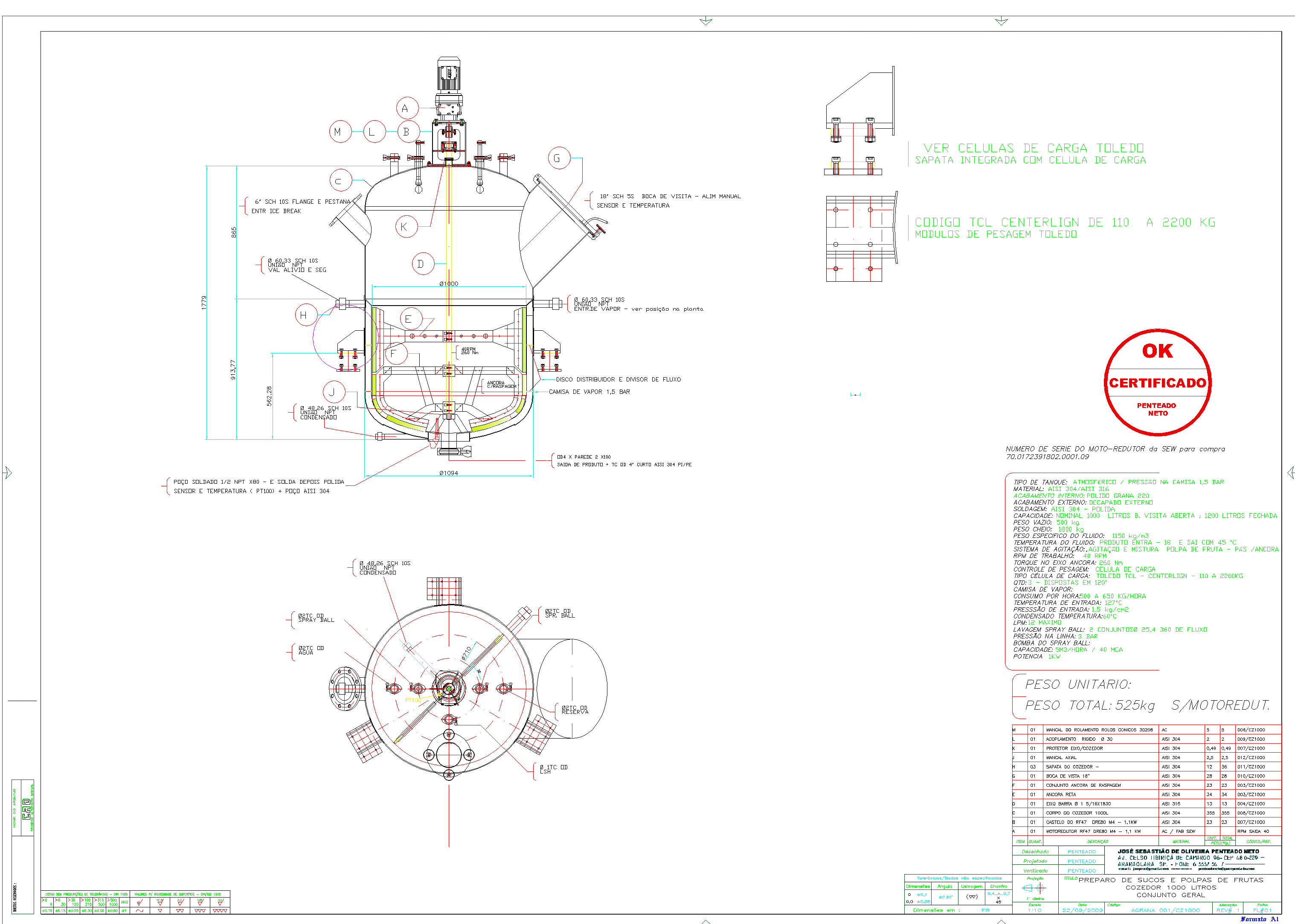
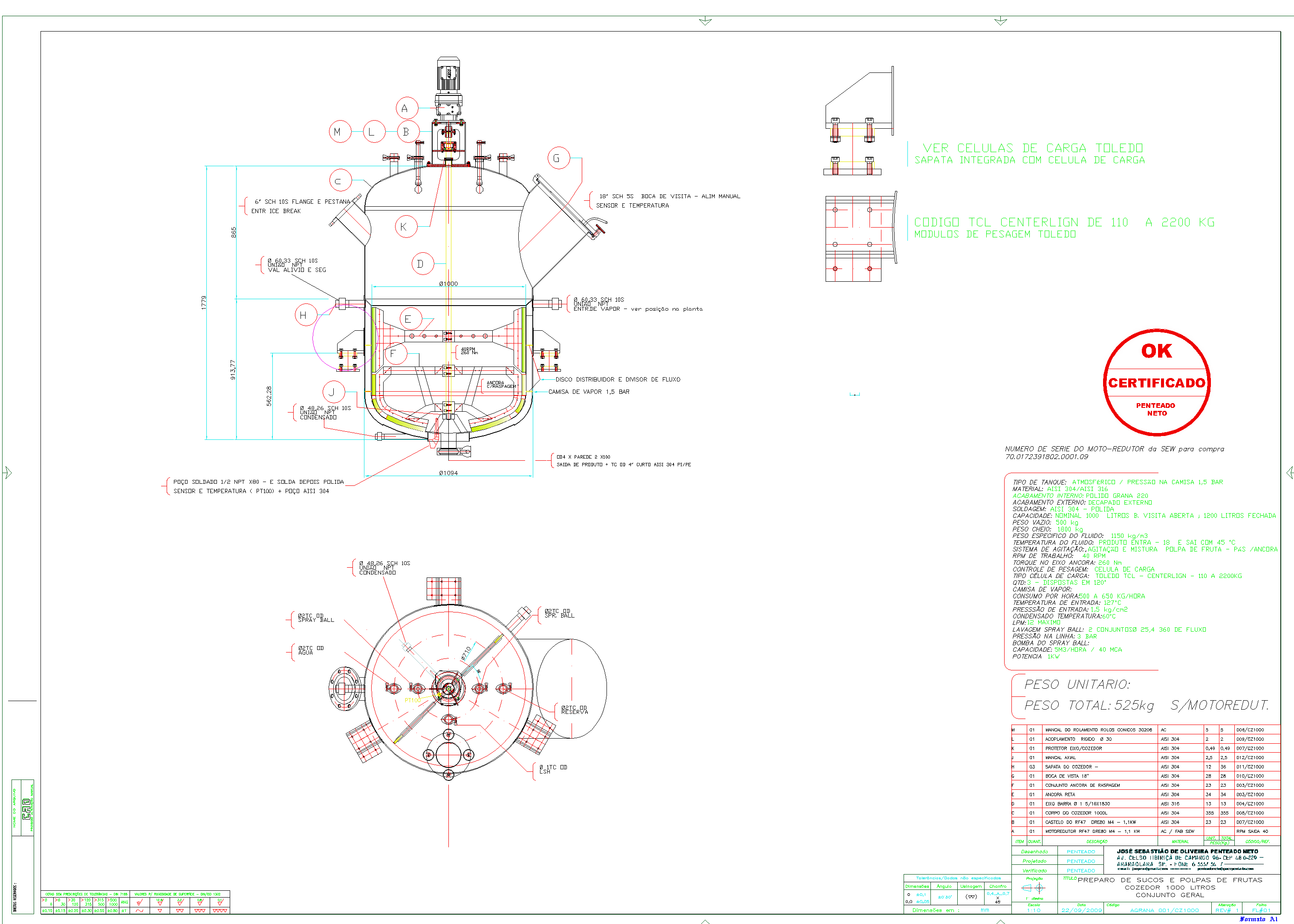
Stirrer with steam heating cap. 1000 Liters For the preparation of Fruit Juices and Pulps and similar industrial processes
Illustrative Images
Project Description and Features
Complete agitator design with steam heating cap. 1000 Liters.
Equipment already built and fully functional!
When purchasing this project you will receive the following drawings that make up the equipment:
-GENERAL ASSEMBLY
-RF47 DRE80 M4 CASTLE
-ANCHOR CUBE AND AUXILIARY PADDLES
-ANCHOR SCRAPER ASSEMBLY
-COOKER'S BODY
-AXLE BAR Ø 1 5/16X1830
-STILL RETAIL
-MOUTH OF SIGHT 18"
-COOKER CHOICE FOOD MOUNT
-COOKER'S SHOE
-MANCAL AXIAL
-AXLE/COOKER PROTECTOR
-RIGID COUPLING Ø 30
-TAPERED ROLLER BEARING BEARING
-WITHOUT INSTRUMENTATION - MECHANICAL PART ONLY
Link with complete technical characteristics: https://goo.gl/ZtECx2
Link to Purchase and Payment via FP: Access Here
Project will be sent by email in PDF format.
Designer contact details. make your contact! Request a quote!
Contact name
Joseph P.. grandchild
Telephone
–Counted by E-mail–
see more
FP Projects: Stirrer with steam heating cap. 1000 Liters


