Projet
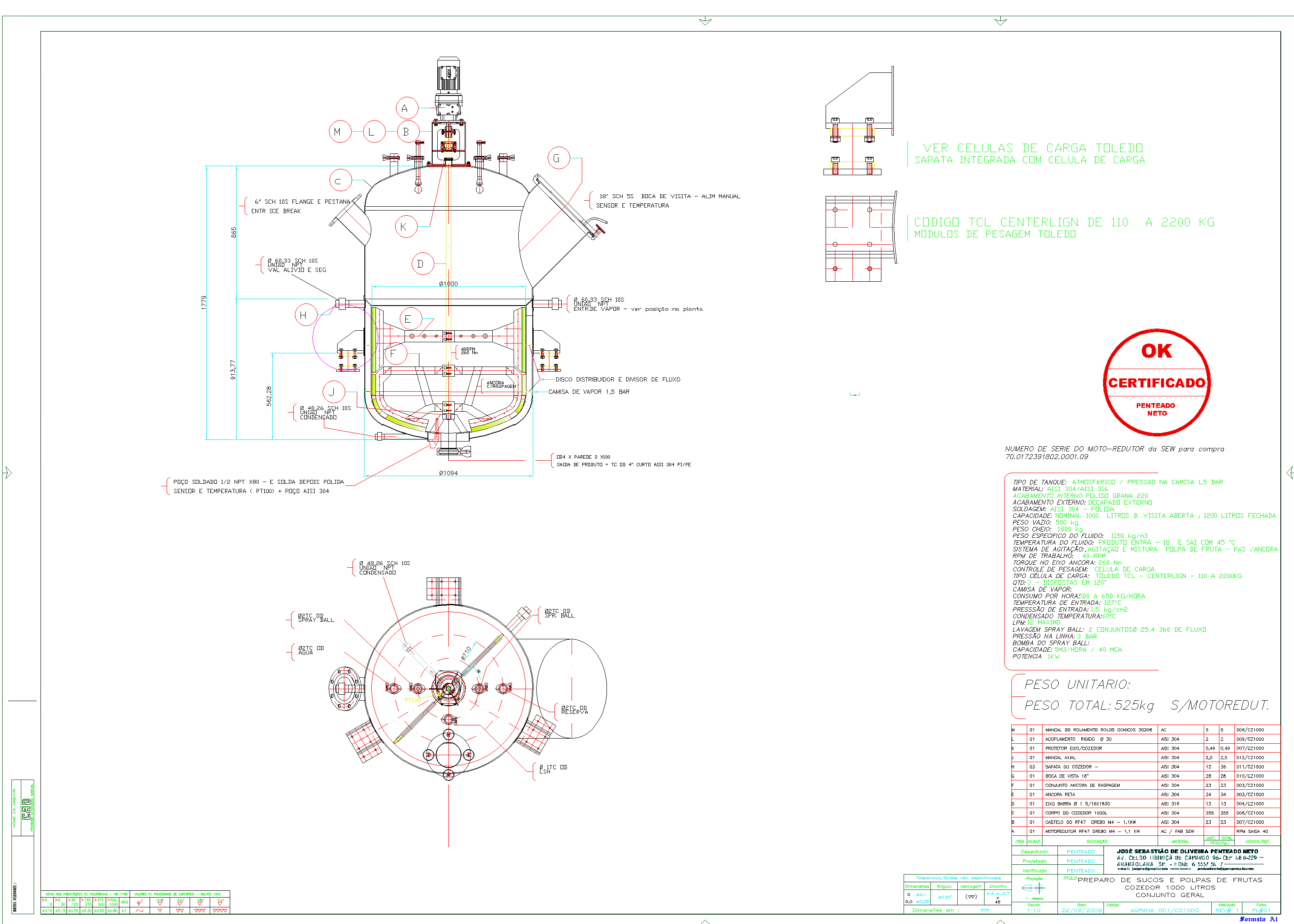
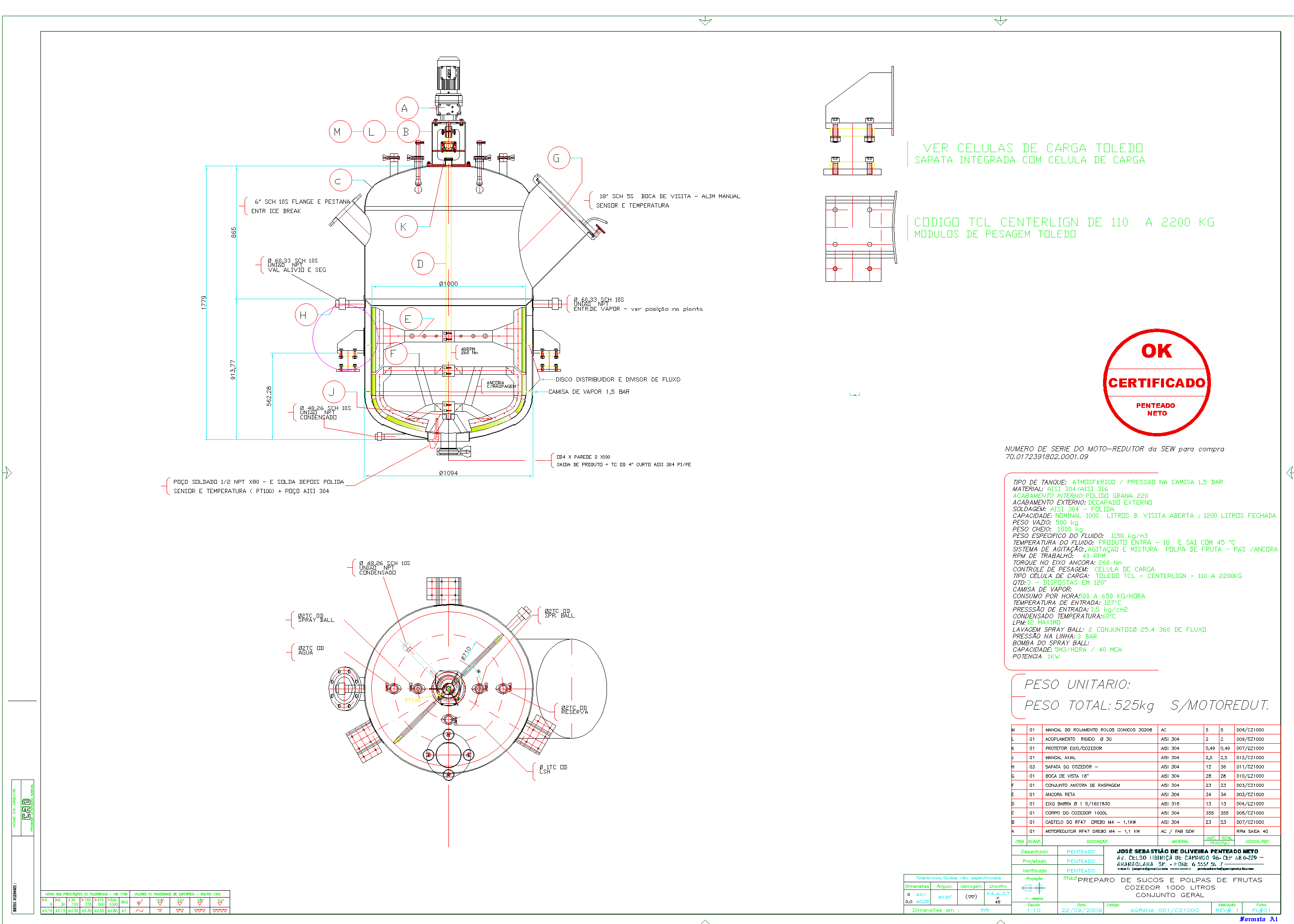
Agitateur avec bouchon chauffant vapeur. 1000 Litres Pour la préparation de jus et pulpes de fruits et procédés industriels similaires
Images d'illustration
Description et caractéristiques du projet
Conception complète de l'agitateur avec chauffage à la vapeur du bouchon. 1000 Litres.
Équipement déjà construit et entièrement fonctionnel!
Lors de l'achat de ce projet, vous recevrez les dessins suivants qui composent l'équipement:
-Assemblée générale
-CHÂTEAU DO RF47 DRE80 M4
-MOYEU D'ANCRAGE ET FEUILLES AUXILIAIRES
-JEU DE GRATTOIRS D'ANCRAGE
-CORPS DE LA CUISINIÈRE
-BARRE D'AXE Ø 1 5/16X1830
-TOUJOURS RETA
-BOUCHE DE VUE 18"
-POIGNÉE D'ALIMENTATION AU CHOIX DE LA CUISINIÈRE
-CHAUSSURE DE CUISINIER
-MANCAL AXIAL
-PROTECTEUR D'ARBRE/CUISINIÈRE
-RACCORD RIGIDE Ø 30
-ROULEMENT À ROULEAUX CONIQUES
-SANS INSTRUMENTATION - PARTIE MECANIQUE UNIQUEMENT
Lien avec les caractéristiques techniques complètes: https://goo.gl/ZtECx2
Lien vers l'achat et le paiement via FP: Accès ici
Le projet sera envoyé par email au format PDF.
Coordonnées du concepteur. Faites votre contact! demander un devis!
voir plus
Projets de PF: Agitateur avec bouchon chauffant vapeur. 1000 Litres


